Mandated Server Training and Alcohol-Involved Traffic Crashes
A time series analysis of the Oregon experience.
Research and preparation of this article were supported in part by the National Institute on Alcohol Abuse and Alcoholism Research Center grant AA06282 to the Prevention Research Center, Pacific: Institute for Research and Evaluation and by funds provided by the University of Minnesota.
Printable Study
Download a printable copy of Mandated Server Training and Reduced Alcohol-Involved Traffic Crashes by clicking the PDF download button.
(Received 24 July 1992; in revised form 16 June 1993)
Authors
Harold D. Holder
Prevention Research Center
2532 Durant Ave.
Berkeley, CA 94704, U.S.A
Alexander C. Wagenaar
Division of Epidemiology, School of Public Health
University of Minnesota
1300 South Second Street, Suite 300
Minneapolis, MN 55454-1015, U.S.A.
Abstract
This paper reports the results from an evaluation of the first statewide mandated training for alcohol servers. The state of Oregon introduced training for all alcohol servers (and for one year all owners/ managers) beginning in December 1986. Servers must complete training once over a five-year cycle; by December 1989, over 50% of servers and managers had been trained. We found statistically significant reductions in single-vehicle nighttime traffic crashes (those with high percentage of alcohol involvement) by the end of 1989 following the implementation of the compulsory server-training policy.
Research and preparation of this article were supported in part by the National Institute on Alcohol Abuse and Alcoholism Research Center grant AA06282 to the Prevention Research Center, Pacific Institute for Research and Evaluation and by funds provided by the University of Minnesota.
Introduction
The primary intervention to reduce alcohol-involved traffic problems in North America and Europe has been enforcement of laws prohibiting driving while impaired (DUI) and more severe punishments and sanctions for convictions for DUI.
An alternative intervention is at the primary location of drinking for impaired drivers. Studies of the location of drinking drivers have shown that substantial numbers of such drivers (in some cases the majority) are coming from licensed alcoholic beverage drinking establishments, i.e. pubs, bars, and restaurants (O’Donnell 1985). These findings suggest that interventions at such public drinking establishments could reduce the number of impaired drivers on the road. Mosher (1987) and Saltz (1985, 1987, 1989) have discussed how changes in alcohol beverage serving practices and establishment sale policies could be effective means to reduce the level of intoxication of customers, particularly those who subsequently drive. One means to accomplish such changes is to train servers in techniques to reduce the intoxication level of customers and to intervene in situations of high-risk drinking.
Servers can undertake a number of actions such as assisting customers in spacing their drinking out over time and increasing food consumption to slow down the absorption of alcohol. The effect of slowing alcohol absorption or increasing the length of time for alcohol absorption by the body is a reduction in the blood alcohol level (BAL) of the drinker and the level of performance impairment.
If customers are intoxicated, servers can intervene by arranging alternative transportation such as that provided by a taxi or nondrinking friends or relatives, and/or by asking the customer to remain in the establishment until his/her BAL has reached a lower level.
While such interventions appear on the surface to be straightforward or common sense, they are not necessarily carried out in practice by servers of alcoholic beverages. Many servers do not understand the risk of impairment for their customers who drink. In fact, customers can be impaired (have a high risk of traffic crashes) without reaching the legal limit for DUI arrest. In addition, servers often work for tips from their customers, and interfering with customers’ desires or even reducing the amount of drinking is seen by many servers as lowering their own earnings from tips. In many cases, servers simply do not know effective strategies for working with customers or lack the support of the establishment manager or owner to carry out responsible beverage serving practices.
Server training is a means to equip servers to assist their customers in reducing alcohol impairment by enhancing their awareness and teaching specific skills to reduce the rate of alcohol consumption. Training can also support changes in serving policies by the establishment, such as eliminating price promotions (happy hours or two-for-one drinking incentives) and reducing the quantities of alcohol served by eliminating sales of pitchers of beer or mixed drinks.
Server training has received controlled evaluations. The first controlled evaluation of server training was completed by Saltz (1987) in a naval-base bar in San Diego, California. Saltz conducted intensive formal training of servers at the bar and conducted on-site observations and interviews with customers at the bar both before and after the training. A matched controlled bar on the same naval base received no such training. Both the level of BAL of customers and self-reported consumption were lower following the server training (Saltz 1987; Hennessy and Saltz 1990). In particular, the most noted reduction was in the highest BAL, the level most likely to lead to traffic crashes. In another study, Geller, Russ, and Delphos (1987) demonstrated that server training resulted in more direct interventions with intoxicated customers. A similar finding was reported by Gliksman and Single (1988) following server training in Canada. McKnight (1987) found that server training yielded more interventions with customers following training in Michigan but no change after such training in Louisiana. Saltz and Hennessy (1991) evaluated server training in civilian alcohol establishments in two northern California communities. They found lower BALs among customers in one community, but no effect in the other community. Beneficial effects appeared where the experimental training sites changed their menus to eliminate large containers of alcohol, e.g. pitchers of mixed drinks. None of these server training evaluations involved increased enforcement of alcohol service regulations or policy.
Howard-Pitney et al. (1991) found that server training produced changes in knowledge and beliefs. They did not find statistically significant changes in server behavior (experimental group compared to a control group) but concluded that this result was “inconclusive given small sample size and design limitations.”
These studies indicate that training of servers, particularly when training is accompanied by changes in establishment policies, can reduce impairment levels of customers. Reduced BAL correspondingly lowers the risk of traffic crashes for customers who leave the establishment and drive.
However, studies to date have not shown whether server training actually reduces the incidence of alcohol-involved traffic crashes. Further more, studies to date have been limited to training programs at small numbers of establishments. There have been no studies of the effects of such training when given to a large enough number of servers such that reductions in the aggregate levels of crashes might be seen.
The state of Oregon provided a unique opportunity to examine whether server training provided to a significant portion of all alcohol servers in a state can reduce alcohol-involved traffic crashes. Oregon is the only state currently that mandates server training (Holder et al. in press). In 1979, Oregon established a statewide law that all servers in retail establishments selling alcohol must obtain a permit. Prior to 1979, this requirement was an administrative rule established by the Oregon Commission on Liquor Control. Permits were valid for five years. No special training was required to obtain a permit. In June 1985, the Oregon legislature passed state bill 726 which required that effective January 2, 1987, all new applicants for beverage service permits must successfully complete a state-approved server-training course. Training actually began in November 1986. In addition, the bill required that all persons holding existing alcohol retail licenses or applying for new licenses must also complete a management training program during calendar year 1987.
The legislation was amended in July 1987, requiring existing server permit holders to complete training only on the five-year anniversary when their permit expired. New server permit applicants still must complete the training as a condition for their initial permit. As a result of this policy, approximately 20% of existing permit holders in Oregon were trained each year, with all servers trained by the end of 1991.
Responsibility for supervision of the server training and certification of training programs is with the Oregon Liquor Control Commission (OLCC). All classes in server education are provided by 20 providers who are certified by the OLCC. The one day training must cover seven areas: (i) the effects of alcohol on the body; (ii) interaction effects of alcohol with other drugs, both prescription and illicit; (iii) problem drinking and alcoholism; (iv) State of Oregon alcohol service laws; (v) drinking and driving laws in Oregon as well as legal liability issues; (vi) effective server intervention techniques including how to intervene with a customer who is drinking too much or shows signs of intoxication; and (vii) alcohol marketing practices for responsible alcohol service. Each provider is expected to follow the teaching techniques and methods standards developed by the OLCC in a Provider Quality Assurance Plan, a guidebook for server education. Classes are typically a combination of lecture, video, role playing, and case study.
Students, both servers and managers/owners, must pay $20 tuition and $13 for program administration. A standardized written test must be passed by all students with at least a 70% score. According to Dan Croy, server education program manager for OLCC, the most significant immediate change that results from the training is a change in perspective and attitude about the value of responsible beverage service. Often, he reports, the students are unhappy about being required to take the class but leave with a positive attitude about service, a greater appreciation of liability and law, and an understanding of how to actually increase their tips by being a responsible alcohol server.
The class is taken by: (i) all new servers seeking an alcohol service certificate, (ii) all existing certified servers at the time of their five-year certificate renewal, and (iii) all managers/owners of licensed on premises establishments (who were initially trained in 1987) at five-year intervals.
The effects of the manager and server training on server behavior and establishment service policy are consistent with the results from controlled evaluations in other states, according to Oregon Liquid Control Commission field service inspectors, who must check each establishment at the time of license renewal. Servers are more aware of responsible service and how to be proactive with customers by counting and spacing drinks rather than only cutting off an obviously intoxicated customer. Managers are more supportive of such server behavior and are more aware of their liability with risky serving policies and practices.
Approximately 36,000 servers and 6,000 owners/managers of establishments licensed to sell alcohol completed the course by the end of December 1988 and approximately 13,000 new servers and existing licensed servers seeking their renewal are currently completing the required training each year.
Molof has conducted a series of evaluations of the Oregon training program. He finds positive in-crease in server trainee knowledge and attitudes about responsible beverage service based upon immediate pre- and post-training evaluation (Molof April 1993), a positive evaluation of the value of the training in a follow-up mail survey to licensed establishments (Molof December 1992), and a positive assessment of the curriculum and its value to trainees by instructors (Molof March 1993).
Molof (January 1993) also conducted interviews with 366 customers in 23 licensed establishments. He estimated a mean BAL of customers (based on drinks consumed per hour as self-reported) of .049 with a median of .038. He concluded establishments with visibly intoxicated customers are “not making a sincere attempt to monitor customers’ drinking.” Unfortunately, there was no pretraining baseline with which to compare the findings of this post-training evaluation.
The objective of this present study was to evaluate the effects of the Oregon server-training policy on traffic crashes, one of the most significant alcohol-related problems that server training is designed to reduce.
Methods
Design
We treated the mandated server-training policy as a natural experiment, using an interrupted time series design in which the period before the change or intervention is compared with the period after the intervention to determine if a statistically significant change has occurred. This quasi-experimental design is frequently used to evaluate prevention programs or policies. Such a design can best assist the researcher in ruling out threats to internal validity when randomized controlled experiments cannot be implemented (Cook and Campbell 1979).
The design utilized can be characterized as:
O1 O2 O3 . . . On1 X On1-1 On1+2 On1+3
O1 O2 O3 . . . On1 On1+1 On1+2 On1+3
where each O1 represents the frequency of traffic crashes in a given month and X represents the implementation of mandated server training in Oregon. The second line in the design shows a comparison group not influenced by the mandated server training. In this study, we used as a comparison group all of the other 47 contiguous states. Using all states (except Oregon) as a comparison group in the design enabled the study to control for national trends in traffic crashes due to a large number of diverse factors while estimating the specific effects of the mandated server training in Oregon.
The ideal dependent measure for this type of study is an exact count each month of the number of traffic crashes in which the driver had a specified nonzero blood alcohol level. However, unless the officer investigating the crash suspects that one or more drivers had been drinking and administers a breath test for the presence of alcohol, no information is available on alcohol involvement. Since all drivers are not routinely breathalyzed in Oregon, alternative surrogate measures must be used.
The dependent measure used for this evaluation is single-vehicle nighttime (SVN) injury-producing crashes. Nighttime is here defined as 8 P.M. to 4 A.M. Prior research successfully used the SVN as an indicator of alcohol-involved crashes and has been frequently used to evaluate prevention strategies designed to reduce alcohol-involved traffic problems (Wagenaar and Maybee 1986; Blose and Holder 1987; and Wagenaar and Holder 1991). While the indicator is not adequate to identify any single crash as alcohol-involved, it does provide a consistent measure over time of the overall level of such crashes in a large population.
Monthly counts of single-vehicle nighttime traffic crashes that involved injuries and/or fatalities were obtained from the Oregon Highway Division for the time period January 1, 1976 through December 31, 1989 (Fig. 1). The data were filtered to exclude medium/heavy trucks (gross vehicle weight rating 10,000 pounds or higher), buses, farm equipment, police or emergency vehicles, recreational vehicles and motorcycles, and crashes involving animals, pedestrians, or bicyclists. Light trucks (less than 10,000 pounds gross vehicle weight rating) were retained. These data provide 144 months of baseline data and 24 months of post-law experience.
Since one-fifth of all individual beverage service permit holders and all retail alcohol outlet managers/ owners were trained during the first year under the new policy, we constructed an intervention variable to combine the two types of trainees, consisting of the proportion of all beverage service permit holders and alcohol outlet licensees trained (Fig. 2). These data were obtained from the Oregon Liquor Control Commission beginning in December, 1986. All existing managers/owners were trained within these first 13 months, and approximately 20% of all beverage service permit holders were trained by the end of 1987, 40% by the end of 1988, and over 50% by the end of 1989.
To control for national trends in traffic crashes, we used the monthly counts of SVN fatal crashes for all contiguous states (except Oregon) as a covariate (Fig. 3), a procedure used in previous studies, e.g. Wagenaar and Holder (1991). Data filters were the same as those used for the Oregon data. These data were obtained from the Fatal Accident Reporting System (FARS) of the U.S. Department of Transportation. Because the trends over time in fatal crashes may not mirror the trends in injury crashes, the USC of nationwide fatals as a covariate is less than ideal. However, in the absence of nationwide data on injury crashes, we used available FARS data as an alternative. The similarities and differences in patterns over time between injury and fatal crashes deserve continuing study.

Fig 2. Proportion of Oregon alcohol servers and managers trained.
Analysis
The frequency of traffic crashes exhibit a strong seasonal pattern and are serially correlated. Therefore, the dependent traffic crash series was analyzed using the autoregressive integrated moving average (ARIM.4) and intervention models developed by Box and Tiao (1975) and Box and Jenkins (1976). This approach is considered superior to OLS regression and other analytic approaches when time series variables show significant autocorrelations at multiple lags (Newbold and Granger 1974; Vigderhous 1978).
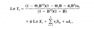
During the 14 years under study, other potentially important alcohol traffic safety policy changes were implemented in Oregon, including, in October 1983, lowering the blood alcohol level legally defined as impaired driving to .08 g/d1 and, in July 1984, DUI legislation providing for administrative license revocation for BAL test refusal and mandatory 48 hour jail term. The policy changes were included in the time-series model to control for their effects on SVN crashes. After following the iterative identification, estimation, and diagnosis model-building strategy of Box and Jenkins (1976), the following model was obtained:

where Θ, is a seasonal moving average parameter at a seasonal span of 12 (months), θ1 is a regular moving average parameter at lag one, θ2 is a regular moving average parameter at lag 2, ut is the white noise normally and independently distributed residual, Β is the backshift operator such that &Beta(zt) equals zt-1, Ψ is the estimated relationship between crashes in the 47 comparison states (Χt) and crashes in Oregon (Υt), τi is the estimated effects of the other alcohol crash policies controlled before estimating the effect of mandatory server training, and ω is the estimated effect of the server training policy. The full model had a very good fit, with an adjusted R2 = 0.81. The close correspondence of the final model to the raw data is shown in Fig. 1. The residuals were white noise as demonstrated by a random nonsignificant autocorrelation function at lags 1 to 36, and an L – Β Q-statistic equal to 17 at lag 24 and 29 at lag 36.
Results
Results indicated that the Oregon policy of requiring alcohol servers to be trained had a statistically significant effect on SVN traffic crashes in the
state (Table 1). The effect of the law increased over the first three years of experience, as the proportion of servers in the state that were trained increased. In the first six months under the new policy, there was an estimated reduction in SVN crashes of 4%.[1] But by the end of the first year under the new rules, the observed reduction in SVN crashes was up to 11%, increasing to a reduction of 18% by the end of the second year and 23% by the end of the third year. These figures represent the net estimated decline in SVN crashes following implementation of the mandatory training policy, independent of the effects of long-term patterns and cycles in SVN crashes in Oregon, independent of the effects of policy changes reducing the allowable driving blood alcohol level to .08 g/dl, independent of policy changes strengthening DUI enforcement and penalties, and controlling for the pattern in SVN crashes in the other 47 contiguous states which did not implement a mandatory training policy.
No other known concurrent historical effects were present, miles traveled in Oregon have steadily increased since 1984, and there has been little change in traffic safety enforcement. In fact there are fewer state police now in Oregon than 10 years ago. There has been no substantial change in public transportation; a light rail transportation line began operation in Portland in 1985, but it affected only one area of the city.
If these effects continue to hold as the policy is in place for longer periods of time, and if they are replicated in other states that might implement statewide mandatory training, they would represent one of the most successful interventions to date designed to reduce alcohol-involved crashes to date. Even the increase in legal drinking age to 21, one of the best documented successful traffic safety interventions in the 198Os, resulted in “only” a 13% reduction in drinking rates and a 15% reduction in SVN crash rates among the youth population directly affected (Wagenaar 1986; O’Malley and Wagena,ar, 1991).
As the proportion of servers trained continues to increase in Oregon in the early 1990s, one might expect the effects of this policy to continue to accumulate. At the end of the period for which data were available (December 1989), 53% of alcohol servers and alcohol outlet managers had received the compulsory training. However, we would not expect the results based on the first three years under the policy to be directly applicable to future years. The initial effects may be larger because of the innovativeness of this policy and the corresponding amount of attention given to it. It is also possible that those trained soon after the policy was implemented may differ in systematic ways from those trained later, such that changing the serving behavior of those trained later may be more difficult. Finally, the effect of the training on servers’ behavior may decay as time passes from training. Nevertheless, our results through 1989 clearly show significant crash reductions following implementation of the mandatory server training policy (Fig. 4).[2]
Conclusions
Results of this study suggest that server training may be an important means to reduce traffic crash injuries. Our results provide clear support for server training when completed by most servers within a relatively short period of time (e.g. half of all servers trained within a three-year period).
One major limitation of this study is the lack of systematic longitudinal data on actual changes in serving behavior as a result of mandated training, Interviews with trained servers reveal many are pleased with the training and believe such training is helpful. A survey conducted by the Oregon Liquor Control Commission found that 68% of those completing the course self-reported positive changes in their own behavior, knowledge, or attitudes as a result of the course. One in three said they thought servers should repeat the course more frequently, than once each five years (Prevention File 1989) Although we do not have direct evidence of changes in alcohol-server behavior in Oregon, previous smaller scale evaluations have shown that server training can change server behavior in ways that result in lower alcohol levels among patrons exiting the establishment. Furthermore, the link between blood alcohol level of drivers and risk of crash involvement is well established (U.S. Department of Transportation 1990)
The generalizability of the results from this study would be further strengthened by replication in other states as well as replications with alternative research designs and outcome measures. However, comparable replications in other states will require substantial incentives or mandated training to insure that large numbers of servers complete the training as Oregon requires. Training all servers in a state may be fundamentally different in terms of changed serving attitudes, norms, and practices from training selected servers at a small subset of establishments. We expect that a majority of servers may have to be trained before clearly noticeable effects on existing state or regional levels of alcohol-involved traffic crashes are seen. Finally, follow-up research is needed to document whether reductions in crashes seen in Oregon continue beyond the initial few years after initiation of mandated training.
Acknowledgements
The authors acknowledge the assistance of Thomas Peterson, Accident Data Supervisor for the State of Oregon, who provided the raw traffic crash data used in this analysis. Daniel Croy, Program Manager for the Oregon Server Education Program, and Darleene Meyer, a program manager with the Oregon Liquor Control Commission, who provided data on the number of participants completing training and other background information.
Footnotes
- [1] All percent change figures are calculated using (eωzt – 1)100, where ω is the estimate from the time-series model, and zt, is the proportion of servers in the state trained as of month t.
- [2] Residuals in Fig. 4 are directly from the equation shown above in the analysis section, showing residuals after controlling for all factors except the mandatory server-training policy.
References
- Blose, J.O.; Holder, H.D. Liquor-by-the-drink and alcohol-related traffic crashes: A natural experiment using time-series analysis. J. Stud. Alcohol 4852-60; 1987.
- Box, G.E.P.; Jenkins, G.M. Time series analysis: Forecasting and control. Rev. ed. San Francisco, CA: Hoiden-Day: 1976.
- BOX, G.E.P.; Tiao, G.C. Intervention analysis with applications to economic and environmental problems. Journal of the American Statistical Association 70:70-79; 1975.
- Cook, T.D.; Campbell, D.T. Quasi-experimentation: Design and analysis issues for field settings. Chicago, IL: Rand McNally; 1979.
- Geller, E.S.; Russ, N.W.; Delphos, W.A. Does server intervention make a difference? Alcohol Health and Research World 1154-69, 1987.
- Gliksman, L.; Single, E. A field evaluation of a server intervention program: Accommodating reality. Paper presented at the Canadian Evaluation Society Meeting, Montreal, Canada, May 1988.
- Hennessy, M.; Saltz, R.F. The situational riskiness of alcoholic beverages. J. Stud. Alcohol 51(5):422-427; 1990.
- Holder, H.D.; Janes, K.; Mosher, J.; Saltz, R.; Spurr, S.; Wagenaar, A.C. Alcoholic beverage server liability and the reduction of alcohol-involved problems. J. Stud, Alcohol 54(1):23-26; 1993.
- Howard-Pitney, B.; Johnson, M.D.; Altman, D.G.; Hopkins, R.; Hammond, N. Responsible alcohol service: A study of server, manager, and environmental impact. Am. J. Public Health 81(2):197-199; 1991.
- McKnight, A.J. Development and field test of a responsible alcohol service program. Volume I: Research Findings. Report No. DOT HS 807 221. Washington, DC: National Highway Traffic Safety Administration, U.S. DOT; 1987. Molof, M.J. Report on a survey of alcohol licensees in the State of Oregon concerning the mandatory alcohol server training program: Degree of implementation and responses to the program. Eugene, OR: Integrated Research Services, Inc.; December 1992.
- Molof, M.J. Report on a survey of alcohol licensees in the State of Oregon concerning the mandatory alcohol server training program: Degree of implementation and responses to the program. Eugene, OR: Integrated Research Services, Inc.; December 1992.
- Molof, M.J. Evaluation of the Oregon alcohol server training program: Report on interviews with customers of licensed alcohol-serving establishments in Oregon. Eugene, OR: Integrated Research Services, Inc.; January 1993
- Molof, M.J. Evaluation of the Oregon mandatory alcohol server training program: Perspective of instructors who teach the server education class. Eugene, OR: Integrated Research Services, Inc.; March 1993.
- Molof, M.J. Evaluation of the Oregon alcohol server training program: Report on knowledge changes before and immediately after the class, pre-class expectations and evaluation of the class. Eugene, OR: Integrated Research Services, Inc.; April 1993.
- Mosher. J.F. Server intervention: A guide to implementing local and state programs. In: Holder, H. (editor) Control issues in alcohol abuse prevention: Strategies for states and communities. Greenwich, CT: JAI Press, 1987; 233-252.
- Newbold, P.; Granger, C.W.J. Experience with forecasting univariate time series and the combination of forecasts Journal of the Royal Statistical Society 137: 131-165; 1974.
- O’Donnell, M.A. Research on drinking locations of alcohol- impaired drivers: Implication for prevention policies. 1. Public Health Policy 6:510-526; 1985.
- O’Malley, P.; Wagenaar, A.C. Effects of minimum drinking age laws on alcohol use, related behaviors, and traffic crash involvement among American youths 1976- 1987. J. Stud. Alcohol 52(5):478-491; 1991.
- Prevention File. Server education: In Oregon it’s the law; Fall 1989.
- Saltz, R.F. Server intervention: Conceptual overview and current developments. Alcohol, Drugs and Driving Abstracts and Reviews 1(4):1-14, 1985.
- Saltz, R.F. The role of bars and restaurants in preventing alcohol-impaired driving: An evaluation of server intervention. Evaluation and the Health Professional, 10( 1):5-27; 1987.
- Saltz, R.F. Research needs and opportunities in server intervention programs. Health Education Quarterly, 16:429-438; 1989.
- Saltz, R.F.; Hennessy, M. Reducing intoxication in commercial establishments: An evaluation of responsible beverage service practices. Berkeley, CA: Prevention Research Center; 1991.
- U.S. Department of Transportation, National Highway Traffic Safety Administration. Alcohol and highway safety 1989: A review of the state of knowledge. DO HS 807 557, NRD-42; Washington, DC: Author; Marc I 1990.
- Vigderhous, G. Forecasting sociological phenomena: Application of Box-Jenkins methodology to suicide rates’. In: Schuessler, K.F. (editor) Sociological methodology. San Francisco, CA: Jossey-Bass; 1978.
- Wagenaar, A.C. Preventing highway crashes by raising the legal minimum age for drinking: The Michigan experience 6 years later. J. Safety Res. 17:101-10’1, 1986.
- Wagenaar, A.C.; Holder, H.D. Effects of alcoholic beverage server liability on traffic crash injuries. Alcohol Clin. Exp. Res. 15(6); 1991.
- Wagenaar, A.C.; Maybee, R.G. The legal minimum drinking age in Texas: Effects of an increase from 18 to 14 J. Safety Research 17:165-178; 1986



